Реферат: Вимушені механічні й електромагнітні коливання
РЕФЕРАТ
на тему:”Вимушені механічні й електромагнітні коливання”
План
1. Диференціальне рівняння вимушених коливань і його розв’язування
2. Амплітуда і фаза вимушених коливань (механічних і електромагнітних). Резонанс. Резонансні криві. Параметриний резонанс
3. Змінний струм.
4. Резонанс напруг
1. Диференціальне рівняння вимушених коливань і його розв’язування
Щоб у реальній коливальній системі одержати незатухаючі коливання, треба компенсувати цій системі втрати енергії. Таку компенсацію можна здійснити за допомогою якого-небудь періодично діючого фактора X(t), який змінюється за гармонічним законом:
![]()
Для механічних коливань пружинного маятника роль X(t) відіграє зовнішня вимушуючи сила
(1)
З урахуванням цієї сили закон руху пружинного маятника запишеться у вигляді
![]()
Якщо скористатися позначеннями
,
, то прийдемо до рівняння
(2)
Рівняння (2) є неоднорідним лінійним диференціальним рівнянням другого порядку. Розв’язок такого рівняння складається з двох частин, загального розв’язку відповідного рівняння без правої сторони і часткового розв’язку цього рівняння з правою стороною, тобто
![]()
де A0 ─ амплітуда зміщення в початковий момент часу (t=0); А ─ амплі-туда коливань, яка установиться через деякий час.
Через деякий час t1, завдяки дії вимушеної сили F0, амплітуда коливань досягне максимального значення (рис. 1). З цього моменту часу розв’язком рівняння (2) буде лише функція
(3)

Рис. 1
Відповідні похідні від (3) підставимо в рівняння (2), одержимо
(4)
У виразі (4) сталі величини А і ω повинні мати такі
значення, щоб гармонічна функція
дорівнювала
сумі трьох гармонічних функцій, які стоять в лівій частині рівняння. Для
виконання цієї умови, необхідно щоб сума трьох векторів при відповідних
косинусах в лівій частині (4) дорівнювала вектору, який стоїть біля косинуса в
правій частині. Однак вектори
і
напрямлені по одній лінії,
але в різні боки. Вектор
напрямлений
перпендикулярно до перших двох. Зазначена вище умова може бути реалізована за
допомогою векторної діаграми (рис. 2).
Векторна діаграма дає можливість визначити амплітуду і початкову фазу вимушених коливань. З діаграми видно, що
. (5)

Рис. 2
Звідки амплітуда вимушених коливань буде дорівнювати
(6)
Початкова фаза вимушених коливань, як видно з векторної діаграми, дорівнює
(7)
З урахуванням співвідношень (6) і (7) розв’язок диференціального рівняння вимушених коливань (2) матиме вигляд
(8)
Якщо розглянути електричний коливальний контур, то роль змінної величини в цьому випадку буде мати е.р.с., або змінна напруга
(9)
Диференціальне рівняння вимушених коливань в коливальному контурі, з урахуванням (9), буде мати вигляд
(10)
Використовуючи позначення, аналогічні до (2), прийдемо до рівняння
(11)
Розв’язком рівняння (11) є функція, аналогічна до (3), тобто
(12)
Амплітуда заряду вимушених електромагнітних коливань буде дорівнювати
. (13)
Підстановка значень
і
в (13) дає значення
амплітуди електромагнітних коливань в такому вигляді
(14)
Похідна за часом від (12) дає можливість одержати в коливальному контурі закон зміни електричного струму
,
де
─ максимальний струм у
коливальному контурі.
2. Амплітуда і фаза вимушених коливань (механічних і електромагнітних). Резонанс. Резонансні криві. Парамет-ричний резонанс
Розглянемо залежність амплітуди А вимушених механічних або електромагнітних коливань від частоти ω. Механічні й електромагнітні коливання будемо розглядати одночасно, називаючи коливну величину або зміщенням (х) коливного тіла від положення рівноваги, або зарядом (Q) конденсатора.
З формули (3.6) випливає, що амплітуда А зміщення має
максимум. Щоб визначити резонансну частоту
—
частоту, при якій амплітуда А зміщення досягає максимуму, — потрібно
дослідити на максимум функцію
. Диференціюємо
підкореневий вираз цієї функції по ω і прирівнюємо його до нуля:
,
![]()
Ця рівність виконується при двох умовах
і
фізичний зміст яких має
лише позитивне значення. Отже, резонансна частота буде дорівнювати
(15)
Явище різкого зростання амплітуди вимушених коливань при
наближенні частоти вимушеної сили до
, називається резонансом (відповідно
механічним або електричним). У випадку коли
значення
практично збігається з власною
частотою
коливної системи. Підставляючи (15) у формулу (6), одержимо
(16)
На рис. 3 наведені залежності амплітуди вимушених коливань від
частоти при різних значеннях β. З виразів (15) і (16) випливає, що чим
менше β, тим вище і правіше лежить максимум даної кривої. Якщо
, то всі криві (див. рис.3)
сходяться в одній точці, яка відповідає, відмінному від нуля граничному
значенню амплітуди
так званому
статичному відхиленню.

Рис.3
У випадку електромагнітних коливань
.
Якщо
то всі криві мають
асимптотичне наближення до нуля. Показані на рис. 3 криві називається
резонансними кривими.
З формули (16) випливає, що при малому затуханні
резонансна амплітуда
зміщення буде мати вигляд
. (17)
Поділимо значення резонансної амплітуди (17) на статичне значе-ння
амплітуди
, одержимо добротність
коливальної системи
(18)
де
─
логарифмічний декремент затухання. Як видно з (18), добротність коливальної
системи характеризує її резонансні властивості. Чим більше число добротності,
тим більша резонансна амплітуда.

Рис. 4
Залежність φ від ω при різних коефіцієнтах β
графічно показана на рис. 4, з якого випливає, що при зміні ω
змінюється і зсув фаз φ. З формули (7) видно, що при ω = 0,
φ = 0, а при
незалежно від значення коефіцієнта
затухання β, φ = π/2, тобто сила випереджає по
фазі коливання на π/2. При подальшому збільшенні ω зсув фаз зростає і
при
,
, тобто фаза коливань майже протилежна до фази
зовнішньої сили. Сімейство кривих, зображених на рис. 4, називається фазовими
резонансними характеристиками.
Зупинимось коротко на явищі параметричного резонансу. Виявляється, що існують інші види зовнішніх взаємодій, з допомогою яких можна значно збільшити амплітуду коливань. Цей вид взаємодій полягає в тому, що в такт коливань періодично змінюють один із параметрів коливальної системи. Так наприклад збільшують довжину математичного маятника l, коли він перебуває в крайніх положеннях і дещо зменшують її, коли маятник проходить положення рівноваги, від цього маятник почне сильно розгойдуватись, амплітуда коливань буде швидко зростати, тобто наступить явище параметричного резонансу.
Збільшення енергії маятника відбувається за рахунок виконання механічної роботи по зміні довжини маятника. Сила тяжіння маятника в цьому випадку є різною, ─ меншою в крайніх положеннях і більшою при проходженні маятником положення рівноваги. Від’ємна робота, яку виконують зовнішні сили по збільшенню довжини маятника є меншою за додатну роботу по зменшенню довжини маятника в положенні рівноваги. За час одного повного коливання (період коливань) сумарна робота по зміні довжини маятника є більшою за нуль.
Прикладом параметричного резонансу є коливання гойдалки. Без будь-яких зовнішніх впливів дитина, перебуваючи на гойдалці, сама здатна збільшувати амплітуду коливань. Потрібно лише в крайніх положеннях присідати, а в положенні рівноваги ─ підніматись. В цьому випадку коливальна система поповнюється енергією за рахунок мускульної сили ніг.
Явища резонансу можуть бути як шкідливими, так і корисними. Наприклад, при конструюванні машин і різного роду споруд необхідно, щоб їх власна частота коливань не збігалася з частотою можливих зовнішніх впливів, інакше можуть виникнути вібрації, які приведуть до значних руйнувань. З іншого боку, наявність резонансу дозволяє знайти навіть дуже слабкі коливання, якщо їх частота збігається з частотою власних коливань приладу. Так, телебачення, радіотехніка, прикладна акустика, що сприймають електричні коливання, засновані на використанні явища резонансу.
3. Змінний струм
Вимушені електромагнітні коливання, які виникають в ланцюзі, що містить резистор, котушку індуктивності і конденсатор, можна розглядати як змінний струм. В той же час змінний струм вважають квазістаціонарним, так як миттєві значення сили струму в усіх перетинах ланцюга практично однакові. У порівнянні із швидкістю світла будь які зміни в ланцюзі відбуваються досить повільно. Для миттєвих значень квазістаціонарних струмів виконуються закон Ома і правила Кирхгофа.
Розглянемо послідовно процеси, які відбуваються в ланцюзі, який містить резистор, котушку індуктивності і конденсатор при вмиканні його до джерела змінної напруги
(19)
де
— амплітуда напруги.
1. Розглянемо ланцюг, в який ввімкнули лише резистор R, а індуктивність L і ємність С ─ відсутні (рис.5,а).

Рис.5, а,б
При виконанні умови квазістаціонарності струм через резистор R визначається законом Ома:
![]()
де амплітуда сили струму дорівнює
![]()
На векторній діаграмі (рис. 5,б) показано, що зсув фаз між напругою і струмом в ланцюзі, в якому є лише резистор R, дорівнює нулю.
2. Розглянемо випадок, коли змінний струм тече через котушку індуктивності L, в цьому випадку резистор R і ємність С в ланцюзі відсутні (рис. 6,а).
Якщо до ланцюга прикладена змінна напруга (19), то через котушку потече
змінний струм, в результаті чого в ній виникне е.р.с. самоіндукції E =
.
Тоді закон Ома для даної ділянки ланцюга буде мати вигляд
![]()
звідки
(20)

Рис. 6,а,б
Оскільки зовнішня напруга прикладена до котушки індуктивності, то
(21)
визначає спад напруги на котушці. З рівняння (20) випливає, що
![]()
або після інтегрування, з урахуванням того, що постійна інтегрування дорівнює нулю, одержимо
(22)
де
![]()
Величина
(23)
називається реактивним індуктивним опором (або індуктивним опором).
З виразу (22) випливає, що для постійного струму, коли
котушка індуктивності не
чинить опору. Підстановка значення
у вираз
(20) з врахуванням (21) приводить до наступного значення спаду напруги на
котушці індуктивності:
(24)
Порівнюючи вирази (22) і (24) приходимо до висновку, що спад напруги UL випереджає по фазі струм I, який тече через котушку, на π/2, що й показано на векторній діаграмі (рис. 6, б).
3. Нехай змінний струм в ланцюзі тече через конденсатор ємністю С, в цьому випадку активний опір R і котушка індуктивності L відсутні. (рис. 7,а).

Рис.7, а,б
Якщо змінна напруга (19) прикладена до конденсатора то, в результаті постійного його перезарядження, у ланцюзі потече змінний струм. Так як вся зовнішня напруга прикладена до конденсатора, а опором підвідних проводів можна знехтувати, то
![]()
Сила струму.
(25)
де

Величина
називається реактивним
або ємнісним опором. Для постійного струму (ω = 0) Rc
=
, тобто постійний струм
через конденсатор текти не може. Спад напруги на конденсаторі у нашому випадку
буде дорівнювати
(26)
Порівнюючи вирази (25) і (26) приходимо до висновку, що спад напруги Uс відстає по фазі від струму, який тече через конденсатор на π/2. Це показано на векторній діаграмі (рис. 7, б).
Розглянемо ланцюг змінного струму, що містить послідовно ввімкнуті резистор, котушку індуктивності і конденсатор. На рис. 8, а показаний ланцюг, що містить резистор опором R, котушку індуктивністю L і конденсатор ємністю С, на кінці якого подається змінна напруга (19).
У ланцюзі виникне змінний струм, який викличе на всіх елементах
ланцюга відповідні спади напруг UR, UL і Uc.
На рис. 8,б показана векторна діаграма амплітуд спадів напруг на резисторі UR,
котушці
і конденсаторі Uc.

Рис. 8,а,б
Результуюча амплітуда Um прикладеної напруги повинна бути рівною геометричній сумі амплітуд всіх спадів напруг. Як видно з рис. 8,б, кут φ визначає різницю фаз між напругою і силою струму. З рисунка випливає, що
(27)
З прямокутного трикутника одержуємо, що
,
звідки амплітуда сили струму буде дорівнювати
(28)
Отже, якщо напруга в ланцюзі змінюється за законом
![]()
то в ланцюзі тече струм
(29)
де φ і Im визначаються відповідно формулами (3.27) і (3.28). Величина
(30)
називається повним опором ланцюга, а величина
![]()
називається реактивним опором.
Розглянемо окремий випадок, коли в ланцюзі відсутній конденсатор. У цьому випадку спад напруг UR і UL в сумі дорівнює прикладеній напрузі U. Векторна діаграма для даного випадку показана на рис. 9, з якої видно, що
(31)
Отже,
відсутність конденсатора в ланцюзі означає що
,
а не С =0.

Рис. 9,а,б
Даний висновок можна трактувати так: зближаючи обкладки конденсатора до їх повного зіткнення, прийдемо до ланцюга, у якому конденсатор відсутній (відстань між обкладками прямує до нуля, а ємність – до безмежності.
4. Резонанс напруг
Якщо в ланцюзі змінного струму, що містить послідовно ввімкнуті конденсатор, котушку індуктивності і резистор (рис. 8,а)
(32)
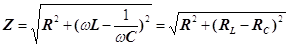
то кут зсуву фаз між струмом і напругою (27) звертається в нуль (φ = 0), тобто зміни струму і напруги відбуваються в одній фазі. Умові (32) задовольняє частота
![]()
У даному випадку повний опір ланцюга Ζ (30) стає найменшим, рівним активному опору R, а струм у ланцюзі визначаючись активним опором, досягає найбільших значень (при даному значенні Um). При цьому спад напруги на активному опорі дорівнює зовнішній напрузі, прикладеній до ланцюга (UR = U), а спади напруг на конденсаторі (Uc) і котушці індуктивності (UL) однакові по амплітуді і протилежні по фазі.
Розглянуте явище називається резонансом напруг (послідовним резонансом), тому що при цьому відбувається взаємна компенсація напруг UL і Uc, кожна з який може значно перевищувати прикладену до ланцюга напруга U. Векторна діаграма для резонансу напруг показана на рис. 9,б.
У випадку резонансу напруг
![]()
тому, підставивши в цю формулу значення резонансної частоти й амплітуди напруг на котушці індуктивності і конденсаторі, одержимо

де
- добротність
контуру.
1.
Так як добротність звичайних коливальних контурів більша одиниці,
то напруга на котушці індуктивності, а також і на конденсаторі перевищує
напругу, прикладену до ланцюга. Тому явище резонансу напруг використовується в
техніці для підсилення коливання напруги певної визначеної частоти. Наприклад,
у випадку резонансу на конденсаторі можна одержати напругу з амплітудою
Um (
у даному випадку
– добротність контуру), що може бути значно більше Um. Це підсилення
напруги можливе тільки для вузького інтервалу частот поблизу резонансної
частоти контуру, що дозволяє виділити з багатьох сигналів одне коливання певної
частоти, тобто на радіоприймачі налаштуватися на потрібну довжину хвилі. Явище
резонансу напруг необхідно враховувати при розрахунку ізоляції електричних
ліній, які містять конденсатори і котушки індуктивності, тому що інакше може
спостерігатися їх пробій.
| Розробка інвертора напруги для апаратури зв'язку | |
|
Содержание Вступ 1. Системи електропостачання 1.1 Види систем електроживлення 1.2 Планування систем електроживлення 1.3 Вимоги до систем ... У автономних інверторах енергія з ланцюга постійного струму передається в навантаження змінного струму, що не має інших джерел змінної напруги. Такі відмінності обумовлені тим, що у випадку з джерелом напруги у вигляді модифікованої синусоїди конденсатор заряджає від імпульсного джерела напруги з високою швидкістю зміни ... |
Раздел: Рефераты по физике Тип: дипломная работа |
| Теорія електричних і електронних кіл | |
|
Міністерство освіти і науки України Запорізька державна інженерна академія . Турба М.М., Юдачов А.В., ТЕОРІЯ ЕЛЕКТРИЧНИХ І ЕЛЕКТРОННИХ КІЛ, ч. II ... Для послідовного ланцюга, що містить лінійні резистор R, котушку індуктивності L і конденсатор С, при її підключенні до джерела з постійною напругою u (рис. де и - відповідно число котушок індуктивності і конденсаторів після вказаного спрощення початкової схеми; - число вузлів, в яких сходяться тільки гілки, що містять котушки ... |
Раздел: Рефераты по физике Тип: учебное пособие |
| Комп"ютерна електроніка | |
|
МІНІСТЕРСТВО ОСВІТИ І НАУКИ УКРАЇНИ ЧЕРНІВЕЦЬКИЙ НАЦІОНАЛЬНИЙ УНІВЕРСИТЕТ ІМЕНІ ЮРІЯ ФЕДЬКОВИЧА Факультет комп"ютерних наук Кафедра комп"ютерних ... В найпростішому випадку джерело струму реалізується у вигляді джерела напруги, вихідний опір якого задається високоомним резистором Rе. Нехай на одному виході в певний момент часу напруга приймає максимальне значення, тобто логічну 1, на іншому -логічний 0. Тоді за рахунок заряду конденсатора, що з"єднаний з ... |
Раздел: Рефераты по коммуникации и связи Тип: курсовая работа |
| Источник бесперебойного питания мощностью 600 Вт | |
|
"Утверждено" РТ01.430127.001 ТЗ-ЛУ _200 р. Техническое задание Источник бесперебойного питания РТ01.430127.001 ТЗ 2006 г. Техническое задание на ... З вихідних даних оптопари TLP521 її спад напруги на діоді VFD=1,2В; максимальний прямий струм через діод IFmax=10мА; Конденсатор вхідного фільтра забезпечує трапецеїдальні сигнали струму, необхідні для перетворення напруги, оскільки вхідна лінія завжди добре фільтрується з смугою пропускання ... |
Раздел: Рефераты по коммуникации и связи Тип: дипломная работа |
| Система моделювання Electronics Workbench | |
|
Система моделювання Electronics Workbench Вступ Electronics Workbench (EWB) - розробка фірми Interactive Image Technologies (www.interactiv.com ... 3.39) містить; ланцюг зсуву (ланцюг керування бар'єрною ємністю), що складається з джерела напруги Uc і резистора R, генератор (амплітуда 1 В, частота 1 МГц), мультиметр, еталонний ... 3.51, б. У ній замість джерела струму використовується джерело напруги \]\ I із захисним резистором Rz для обмеження струму через діод у випадку його пробою. |
Раздел: Рефераты по информатике, программированию Тип: учебное пособие |